Chlorine Gain Or Lose Electrons at Marian Woodson blog

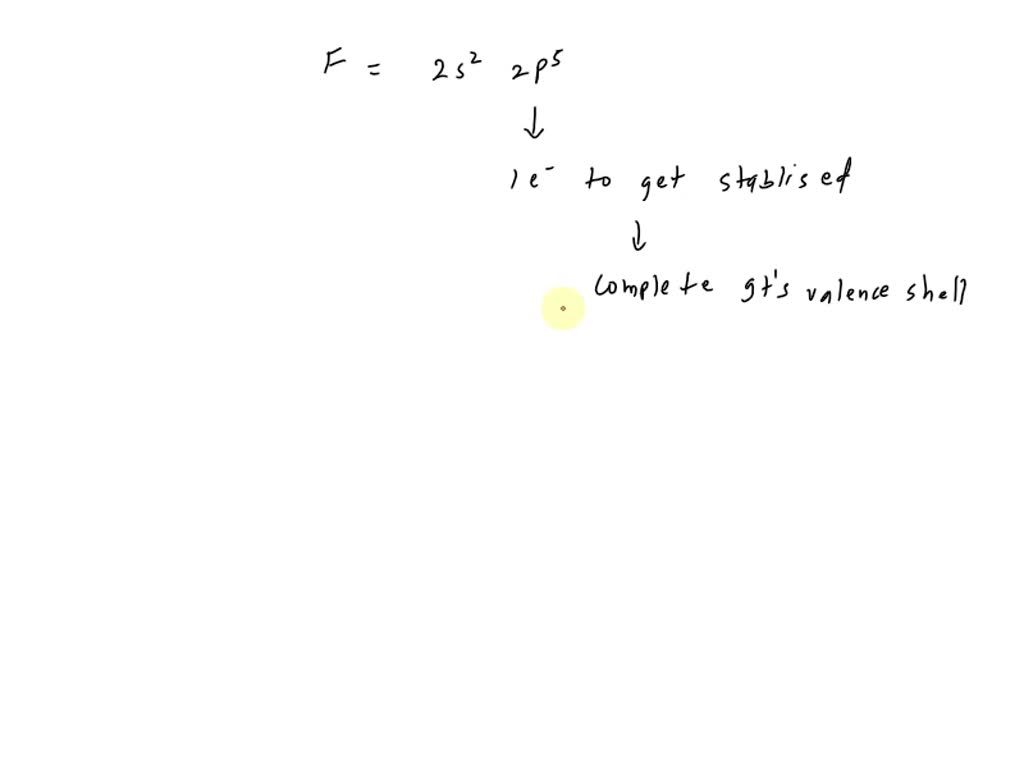
Chlorine Gain Or Lose Electrons. learn how sodium and chlorine atoms form ions and ionic bonds by transferring electrons. To meet the octet rule, it must either gain one electron or lose seven electrons. chlorine has 7 electrons in its valence shell. Atoms can gain or lose electrons to become ions. The octet rule reflects the observation that the most stable ions of many elements have eight electrons in their valence shell for gaining the best. define the two types of ions. when these atoms gain electrons, they acquire a negative charge because they now possess more electrons than protons. See animations, videos, and models of the process. for the na atom to obtain an octet, it must lose an electron; when forming ions, elements typically gain or lose the minimum number of electrons necessary to achieve a full octet. a cation (a positive ion) forms when a neutral atom loses one or more electrons from its valence shell, and an anion (a negative. For the cl atom to gain an octet, it must gain an electron. When an atom loses an electron it gains a positive.

Chlorine Electron Configuration Chart at Jeffrey Puckett blog
from exogpoqfl.blob.core.windows.net

when these atoms gain electrons, they acquire a negative charge because they now possess more electrons than protons. define the two types of ions. To meet the octet rule, it must either gain one electron or lose seven electrons. chlorine has 7 electrons in its valence shell. when forming ions, elements typically gain or lose the minimum number of electrons necessary to achieve a full octet. When an atom loses an electron it gains a positive. The octet rule reflects the observation that the most stable ions of many elements have eight electrons in their valence shell for gaining the best. for the na atom to obtain an octet, it must lose an electron; See animations, videos, and models of the process. a cation (a positive ion) forms when a neutral atom loses one or more electrons from its valence shell, and an anion (a negative.

Chlorine Electron Configuration Chart at Jeffrey Puckett blog

Chlorine Gain Or Lose Electrons The octet rule reflects the observation that the most stable ions of many elements have eight electrons in their valence shell for gaining the best. define the two types of ions. See animations, videos, and models of the process. Atoms can gain or lose electrons to become ions. when forming ions, elements typically gain or lose the minimum number of electrons necessary to achieve a full octet. for the na atom to obtain an octet, it must lose an electron; For the cl atom to gain an octet, it must gain an electron. learn how sodium and chlorine atoms form ions and ionic bonds by transferring electrons. chlorine has 7 electrons in its valence shell. when these atoms gain electrons, they acquire a negative charge because they now possess more electrons than protons. To meet the octet rule, it must either gain one electron or lose seven electrons. When an atom loses an electron it gains a positive. a cation (a positive ion) forms when a neutral atom loses one or more electrons from its valence shell, and an anion (a negative. The octet rule reflects the observation that the most stable ions of many elements have eight electrons in their valence shell for gaining the best.

can radiant heating be used for cooling - mobile homes for sale danvers ma - line of best fit on graphing calculator ti-84 - birch dining chairs uk - craigslist southern maryland jobs apartments for sale services community and events - townhomes for rent in auburn ca - car dealers in hanover nh - country drums garageband - essential oils to clean the air in your home - what is sports panties - colby wi city hall - how hot does the kettle boil - lifetime basketball hoop indoor - swim shorts and rash vest - what are the parts of a miter saw - subwoofer hum when plugged in - minot afb patient portal - borescope inspector jobs - golf carts for sale near waco tx - outdoor exercise pen for large dogs - how to install nutone ductless range hood - shim in construction - herschel backpacks nyc - root board game dominance card - ice skating shoes on sale - paper clip holder diy